図2-1-1のように、面状素子は格子線網に置き換え(ワイヤグリッドモデル)、
線状要素の集まりとみなすことができます。
線状導体表面S上で、電界の軸方向成分が0であるという境界条件より次式が得られます。[1]
(2-1-1)
ここでlは軸方向に沿った長さ、Eiは印加電界です。
また、時間因子ejωtは省略します。

図2-1-1 面状・線状素子とその要素分割
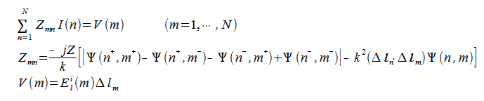
各要素内では、電流(I)、電荷(σ)は一定とします。 式(2-1-1)の第1式を要素m(m=1,...N)に沿って積分すると次式が得られます。(N:線状要素の総数)
(2-1-2)
ここで要素番号は図2-1-2のように与えます。
Φ(m-),σ(n-)についても同様です。
また、Δlnは要素nの長さであり、
Δl+n,Δl-n
はそれぞれ半要素ほど前後にシフトしたものです。

図2-1-2 要素番号の与え方
以上から電流I(n)についてまとめると次式が得られます。
(2-1-3)
(2-1-4)
なお、素子nにZLの負荷がかかっている場合は対角成分を次式のように変えます。
(2-1-5)
行列Zmnは複素数対称密行列です。連立一次方程式(2-1-3)を解き、
その解である電流分布I(n)(n=1,...,N)からアンテナ等の電磁気的特性を計算することができます。