静磁界の方程式は静電界と同じであるために、
電圧→磁位、電界→磁界、比誘電率→比透磁率と置き換えると静磁界の計算を行うことができます。
一様な電界中(磁界中)に誘電体(磁性体)の球殻を置いたモデルを計算します。
比誘電率を高くすると磁気シールドのモデルになります。
リスト5-4-1に入力データを示します。
図5-4-1に形状出力図を示します。
このとき球殻の内部の電界は一定となり、その向きは外部の一様電界と同じ向きになります。
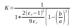
内外の電界の大きさの比を遮蔽因子と呼び次式の解析解が存在します。([2], p.148)
(5-4-1)
外径a=0.5m、内径b=0.4m、比誘電率εr=100、外部の一様電界=2/2=1V/mとしています。
このとき式(5-4-1)の解析解はK=0.0860となります。
図5-4-2に垂直方向の電界分布を示します。
内部の電界がほぼ一定になることがわかります。
図5-4-3に内部を拡大し解析解と比べたものを示します。
計算結果の平均値が解析解と一致することがわかります。
図5-4-4に電圧の面上分布図、図5-4-5に電界の面上分布図を示します。
リスト5-4-1 球殻磁気シールド(shield.ost)
OpenSTF 1 3 title = 球殻シールド xmesh = -1 200 1 ymesh = -1 200 1 zmesh = -2 400 2 volt = -2 volt = +2 epsr = 100 epsr = 1 geometry = 1 1 1 -1 1 -1 1 -2 -2 geometry = 1 2 1 -1 1 -1 1 2 2 geometry = 2 1 2 -0.5 0.5 -0.5 0.5 -0.5 0.5 誘電体球 geometry = 2 2 2 -0.4 0.4 -0.4 0.4 -0.4 0.4 内部空気 solver = 1.99 3000 100 1e-5 plot1d = E Z 0 0 1ddb = 0 1dscale = 0 4 4 1dlog = 1 plot2d = V X 0 plot2d = E X 0 2dfigure = 1 0 2ddb = 0 2dobject = 1 1 2dlog = 1 window2d = 750 500 15 window3d = 500 500 60 30 end

図5-4-1 形状出力図

図5-4-2 電界線上分布図

図5-4-3 電界線上分布図(拡大図と解析解との比較)

図5-4-4 電圧面上分布図

図5-4-5 電界面上分布図