外部から平面波が入射し物体で散乱されるモデルを散乱問題と呼びます。
このとき全電界を未知量である散乱電界Esと既知量である入射電界Eiの和で表します。
(2-5-1)
これを式(2-1-6)に代入し未知量である散乱電界を再びEで表すと次式になります。
(2-5-2)
入射波が伝搬する背景媒質の複素比誘電率と複素比透磁率を
(真空中では
)とすると式(2-1-3)と同様に次式が成り立ちます。
(2-5-3)
式(2-5-3)とベクトル公式(φ:スカラー、a:ベクトル)
(2-5-4)
を利用すると式(2-5-2)の右辺は以下のようになります。
式(2-5-2)の右辺=
(2-5-5)
ここでZaとZ0は背景媒質と真空の波動インピーダンスです。
(2-5-6)
(2-5-7)
式(2-5-5)は背景媒質(
)ではゼロになります。すなわち物体が存在する点でのみ非ゼロになります。
式(2-5-2)の右辺すなわち式(2-5-5)のX成分の離散式は以下のようになります。
式(2-5-2)の右辺のX成分の離散式
(2-5-8)
磁気抵抗率についてはYee格子の磁界点での値を使用しています。
原点から見た入射方向の極座標を
とすると、入射平面波の電磁界は次式で計算されます。
(2-5-9)
(2-5-10)
ここで、
は入射波の進行ベクトル、
はそれぞれ
方向の単位ベクトルであり次式で計算されます。
(2-5-11)
式(2-5-9)の最後の式は楕円偏波を表し主軸と副軸の単位ベクトルM,mは図2-5-1の通りです。
すなわち主軸がθ方向からφ方向に傾いた角をαとし、軸比をr=m/Mとします(-1≤r≤+1)。
r>0のとき右旋、r<0のとき左旋となります。
特別なケースとして垂直偏波はα=0,r=0、水平偏波はα=90,r=0、
右旋円偏波はα=0,r=1、左旋円偏波はα=0,r=-1となります。

図2-5-1 楕円偏波の定義(入射方向から原点を見た図、M:主軸単位ベクトル、m:副軸単位ベクトル)
図2-5-2のように計算領域が材質の異なる二つの領域に分かれており、
これに一方から平面波が入射するときは、Snellの反射、屈折の法則と
Fresnelの反射、透過係数を用いて入射平面波を解析的に表現することができます。
入射側と透過側の複素比誘電率と複素比透磁率をそれぞれ
、
とします。
入射波、反射波、透過波の進行方向の単位ベクトルを順に
とします。
電界ベクトルが入射面と平行なときをP偏波、垂直なときをS偏波と呼びます。
P偏波とS偏波の入射波、反射波、透過波の電界方向の単位ベクトルをそれぞれ
と表します。

図2-5-2 半領域の入射平面波
入射電界のベクトルを
とすると反射電界と透過電界のベクトルは次式で表されます。
(2-5-12)
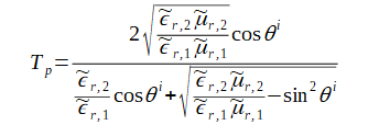
ここでR,Tは次式のFresnelの反射、透過係数です。
(2-5-13)
(2-5-14)
(2-5-15)
(2-5-16)
原点から見た入射方向の極座標を
とし、境界面の入射側を向いた法線ベクトルを
とします。各ベクトルの計算式は以下の通りです。
(2-5-17)
(2-5-18)
(2-5-19)
(2-5-20)
(2-5-21)
(2-5-22)
式(2-5-20)は
、式(2-5-21)の第一式は
、式(2-5-21)の第二式は
から確認することができます。
式(2-5-21)の第一式のcosθtはSnellの法則から計算されます。
(2-5-23)
入射側の任意の場所の入射電界と反射電界は次式で表されます。
(2-5-24)
(2-5-25)
透過側の任意の場所の透過電界は次式で表されます。
(2-5-26)
ここで、k1,k2は入射側と透過側の波数です。
(2-5-27)
全反射
n1>n2であり
であるとき全反射となり、式(2-5-13),(2-5-15)から|Rp|=|Rs|=1となります。
また、式(2-5-26)の右辺第2因子は接線方向に伝搬する波であり、
右辺第3因子は透過方向に指数関数で減衰します。
これをエバネッセント波と呼びます。
なお、全反射のときは式(2-5-26)の平方根の中が負の実数になり、
時間因子がejωtであることから
とする必要があります。
式(2-5-13)~(2-5-16)の該当する項についても同様です。
Brewster角
P偏波において
であり、
が実数であるとき式(2-5-13)の分子=0とおくと次式が得られます。
(2-5-28)
この角度をBrewster角と呼び、反射係数がゼロになります。
P偏波45度入射時の入射側合成電界
P偏波を考え、簡単のため反射面をZ=0、入射方向をXZ面、入射角をθ、波数をkとすると

となり、入射側の合成電界は次式となります。

これからP偏波で入射角θ=45度のときは入射側の合成電界の振幅は場所によらず一定となります。
(2-5-29)